https://www.acmicpc.net/problem/2606
2606번: 바이러스
첫째 줄에는 컴퓨터의 수가 주어진다. 컴퓨터의 수는 100 이하인 양의 정수이고 각 컴퓨터에는 1번 부터 차례대로 번호가 매겨진다. 둘째 줄에는 네트워크 상에서 직접 연결되어 있는 컴퓨터 쌍
www.acmicpc.net
그림을 보자마자 DFS보다 Union Find가 먼저 떠올랐다.
문제를 풀었을 때도 DFS가 아니라 Union Find가 정석이라고 생각했다.
이 문제는 Union Find를 응용한 크루스칼 알고리즘을 한 번이라도 풀어본 사람이라면 DFS나 BFS를 쓰지 않고 쉽게 풀 수 있는 문제다. 크루스칼에서는 정점을 탐색하면서 사이클을 이루는지 판별하기 위해 Union Find를 쓴다.
먼저 이 문제를 DFS로 풀 경우, 그래프의 탐색을 이용하여 visited 배열을 만든 후 이미 방문한 정점에 대해서는 카운트하지 않도록 한 후 새 정점을 방문할 때마다 카운트를 증가시키면 된다.
BFS의 경우 큐와 while문을 활용하여 인접 정점을 큐에 넣고 queue.empty() == false 를 조건문으로 넣어 탐색하면 된다.
반면 Union Find를 사용한다면 훨씬 코드가 간단해지고 각 정점이 속한 Union의 부모 정점을 표시할 수 있는 배열만 만들어 주면 된다.
#include <iostream>
using namespace std;
int parent[101];
int find(int child) { // union find
if (parent[child] == child) return child;
return parent[child] = find(parent[child]);
}
int main() {
ios_base::sync_with_stdio(0); cin.tie(0);
int n, m;
cin >> n >> m;
for (int i = 1; i <= n; i++) {
parent[i] = i;
}
for (int i = 0; i < m; i++) {
int a, b;
cin >> a >> b;
int pa = find(a);
int pb = find(b);
if (pa < pb) {
parent[pb] = pa;
}
else {
parent[pa] = pb;
}
}
int cnt = 0;
for (int i = 2; i <= n; i++) {
if (find(i) == 1) cnt++;
}
cout << cnt;
}
int find(int child) 함수는 child의 조상(바로 위 부모가 아니라 부모의 부모 형태로 추적하면서 최종 부모를 가리킴)을 찾는 함수이다. 새 정점을 방문할 때마다 부모가 바뀔 수 있다.
Union에서 부모를 택할 때 가장 큰 값과 작은 값 중 하나를 선택할 수 있지만 보통은 작은 값으로 하는게 일반적이다.
다음의 입력값을 보자.
6
5
1 2
3 4
4 6
5 4
6 2
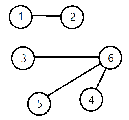
1번부터 6번까지 총 6개의 컴퓨터가 존재하고 6 - 2가 연결되기 전까지의 그래프는 다음 그림과 같다.

현재 상태에서 1과 2의 부모는 1이고,
3, 4, 5, 6은 부모를 3으로 한다.
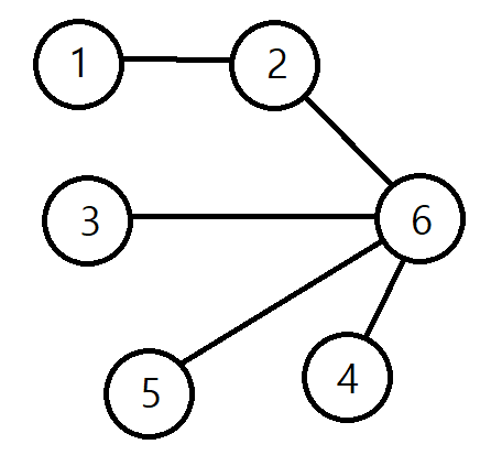
여기서 6 - 2를 연결하면

3을 부모로 하던 3, 4, 5, 6은 최종적으로 1을 부모로 하게 된다.
다같이 1을 부모로 하기 때문에 모두 1의 집합, 즉 Union에 속하게 된다.
따라서
parent[a] = pb가 아니라 parent[pa] = pb로 해주어야 한다.
자신의 부모만 바꾸는게 아니라 같은 부모를 섬기는 나머지 정점들에 대해서도 부모를 바꾸어주어야 하기 때문이다.
6 - 2를 새로 추가하기 전 상황에서는 parent[6] = 3, parent[2] = 1이다.
여기서 3의 부모를 1로 바꾸어주어야 하므로 parent[3] = parent[2] = 1 이 되는 것이다.
정점의 개수가 최대 100개이기 때문에 메모리에 대한 염려는 없지만 무지막지하게 크다면 vector를 사용하여 동적 배열을 만들면 된다.
'Algorithms' 카테고리의 다른 글
| [백준 #16928 c++] 뱀과 사다리 게임, DP? (0) | 2023.11.15 |
|---|---|
| [백준 #10026 c++] 적록색약, DFS (1) | 2023.11.14 |
| [백준 #20529 c++] 가장 가까운 세 사람의 심리적 거리, Brute Force (1) | 2023.11.01 |
| [백준 #1463 c++] 1로 만들기, 동적계획법 (0) | 2023.10.29 |
| [백준 #1929 c++] 소수 출력하기, 그리고 에라토스테네스의 체의 시간복잡도 (1) | 2023.10.26 |